Does physical exercise enhance physical appearance? An empirical study based on CFPS | BMC Public Health
Effects of physical exercise on physical appearance
Based on the full sample estimation results, there is a significant positive correlation between physical exercise and physical appearance scores (see Table 2). Specifically, for every 1% increase in exercise duration, the physical appearance score increases by 0.030 points, which equals 0.555% of the sample’s average physical appearance score (5.406). This finding suggests that physical exercise plays a substantial role in enhancing personal physical appearance. In addition to physical exercise, other control variables also have significant effects on individual physical appearance. Age is negatively correlated with physical appearance scores, with an average decrease of 0.013 points for each additional year of age. Although the effect for a single year is small, its negative impact can accumulate over time. There is also a significant gender difference, with men’s physical appearance scores 0.065 points lower than those of women (p < 0.01). Although the effect size is small, it may reflect that women generally have higher expectations and concerns about physical appearance, while men face less pressure regarding appearance, reducing their motivation to improve it.
The impact of residence on physical appearance scores is significant and positive, with urban residents scoring 0.144 points higher than rural residents (p < 0.01). This result indicates that residence is an important factor affecting physical appearance, possibly related to urban residents’ access to better environments, lifestyles, and resources. BMI is negatively correlated with physical appearance scores, with a decrease of 0.007 points for every unit increase in BMI (p < 0.01). The small effect size suggests that BMI has a limited impact on physical appearance, implying that body mass index may not be a key predictor of appearance. Improvement in health status has a significant positive impact on physical appearance scores, with a coefficient of 0.119 (p < 0.01). Individuals with better health typically exhibit healthier skin tone and physique, contributing positively to their physical appearance. In contrast, smoking habits have a significant negative effect on physical appearance scores, with a coefficient of -0.062 (p < 0.01), likely due to the adverse effects of smoking on skin and overall health. Higher education levels are significantly positively correlated with physical appearance scores, with a large effect size (coefficient = 0.131, p < 0.01). This may be because individuals with higher education pay more attention to personal image and health and have more resources to maintain a good physical appearance [33, 34].
The positive effect of marital status (β = 0.086, p < 0.01) suggests that individuals with partners may be more motivated to maintain their physical appearance. Each slight improvement in economic status marginally increases physical appearance scores, with a coefficient of 7.44e-07 (p < 0.01). The low coefficient for economic status may result from the large values of the independent variable (mean = 23,793 yuan) and the small values of the dependent variable (mean score = 5.406), leading to a small effect size. It also suggests that economic status may not be a strong factor influencing physical appearance. Regional effect analysis shows that physical appearance scores are higher in developed regions compared to underdeveloped areas, likely due to better resources and higher quality of life in developed regions. The R2 of the OLS regression model is 0.143, indicating that the model explains 14.3% of the variance in physical appearance scores.
Heterogeneity in the effects of physical exercise on physical appearance
Robustness tests for the role of physical exercise: based on IV-2SLS estimation
In the field of social and behavioral sciences, numerous factors such as omitted variables, sample selection bias, reverse causality, and measurement errors can affect the reliability of regression analysis. For instance, physical appearance might inversely influence an individual’s participation in sports, leading to the emergence of reverse causality. Moreover, if certain unobservable variables, such as family background, affect both physical exercise and physical appearance, conventional regression models may overlook these factors, leading to biased results.
To effectively address potential endogeneity issues between physical exercise and physical appearance, this study employs the Instrumental Variable (IV) method. A valid instrumental variable must meet two fundamental criteria: relevance and exogeneity. First, the relevance criterion requires that there be a substantial correlation between the instrumental variable and the main explanatory variable—physical exercise. Second, the exogeneity criterion stipulates that the instrumental variable must not be correlated with the error term of the model, nor should it directly affect the dependent variable—physical appearance. In this study, the chosen instrumental variable is the family-level rate of participation in physical exercise (excluding the individual).Footnote 1 The rationale for selecting this variable as an instrument is based on the following: The family-level rate of participation in physical activities reflects the overall attitude and involvement of the family in sports, which is positively correlated with the exercise behaviors of its members. Furthermore, there is currently no evidence to suggest that the family-level rate of participation in physical exercise (excluding the individual) directly influences an individual’s physical appearance. Therefore, this instrumental variable effectively meets the criteria of relevance and exogeneity and is suitable for the analytical framework of this study.
Table 3 reports in detail the results of the two-stage least squares (2SLS) analysis. The report is divided into two parts: Panel A displays the results of the first stage, while Panel B reports the results of the second stage. In the first stage, the F-value significantly exceeds the empirical threshold of 10 [35], indicating that the chosen instrumental variable does not suffer from the weak instrument problem. Further analysis shows that, after controlling for other relevant variables, the family-level rate of participation in physical exercise (excluding the individual) significantly and positively affects individual physical exercise at the 1% statistical level, further confirming the appropriateness of the chosen instrumental variable. Moreover, the results of the Durbin-Wu-Hausman test for endogeneity indicate that the hypothesis that “all variables are exogenous” can be rejected at the 1% statistical level, showing that physical exercise is an endogenous explanatory variable and requires estimation using the Instrumental Variable (IV) method. From the estimates of the second stage, physical exercise has a significant positive effect on physical appearance at the 1% statistical level. Overall, the estimates obtained using the Instrumental Variable (IV) method are consistent with the results of the benchmark regression analysis, indicating that, after controlling for potential endogeneity issues, the positive effect of physical exercise on physical appearance is empirically supported, thereby validating the reliability of the OLS regression results.
Robustness tests for the role of physical exercise: replacing the dependent variable
Although other-rated physical appearance is more objective than self-rated appearance, and regional effects were controlled in the analysis to reduce differences among interviewers (in the CFPS project, respondents from the same region are assessed by the same group of interviewers, leading to more consistent scoring standards), appearance scores may still be influenced by interviewers’ subjective factors. To address this, this study replaces the dependent variable using two methods to perform robustness tests on the benchmark regression.
First, due to potential subtle differences in scoring standards among interviewers, the original appearance scores are reclassified into three categories: “ordinary appearance,” “better appearance,” and “best appearance.” This reclassification aims to reduce differences in scoring standards among interviewers, thereby alleviating rating discrepancies to some extent. The original CFPS appearance scores range from 1 to 7; based on related studies, scores of 1–5 are defined as “ordinary appearance,” a score of 6 as “better appearance,” and a score of 7 as “best appearance” [32].
Second, since the interviewers for the CFPS projects in 2016 and 2018 were different individuals, this study uses the average appearance scores from both periods to replace the dependent variable, mitigating the subjectivity of individual interviewers’ scores. The results of Model (2) and Model (3) in Table 4 indicate that both the reclassified results and the average score results support the benchmark regression, showing that physical exercise significantly contributes to the enhancement of appearance.
Effects of physical exercise on physical appearance: the influence of gender, residence, and age
This study analyzes the impact of physical exercise on the physical appearance of populations of different genders, residence, and age groups. The results indicate that physical exercise has a significant positive effect on the physical appearance of both men and women (p < 0.01). Specifically, although the enhancement effect of physical exercise on women (β = 0.031, p < 0.01) is slightly higher than that on men (β = 0.030, p < 0.01), the difference is minimal (see Table 5). Additionally, from the perspective of residence, physical exercise significantly improves the physical appearance of both urban and rural residents (p < 0.01). However, urban residents (β = 0.036, p < 0.01) experience a more significant improvement in physical appearance compared to rural residents (β = 0.025, p < 0.01).
In terms of age, physical exercise positively affects the physical appearance of all age groups (see Table 5). Parameter estimates for different age groups show that physical exercise has the least impact on the physical appearance of adolescents (10–20 years old) (β = 0.0185, p < 0.05), increases gradually for young adults (20–39 years old) (β = 0.0194, p < 0.01), reaches its maximum for middle-aged adults (40–59 years old) (β = 0.037, p < 0.01), and decreases for older adults (60–80 years old) (β = 0.024, p < 0.01). This indicates that the effect of physical exercise on physical appearance follows an inverted U-shaped pattern.
Effects of physical exercise on physical appearance: the impact on individual appearance levels
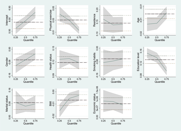
OLS regression provides only the average effect of physical exercise on appearance, while quantile regression more precisely reveals the impact of explanatory variables on the dependent variable at different distribution levels, aiding our understanding of the heterogeneity of physical exercise’s effects across different levels of appearance. In this study, we selected the 0.25, 0.5, and 0.75 quantiles of physical appearance scores, representing individuals at low-medium, medium, and medium–high levels of physical appearance, respectively. The results show that at the 0.25, 0.5, and 0.75 quantiles, the impact parameter estimates of physical exercise on physical appearance are 0.041 (p < 0.01), 0.030 (p < 0.01), and 0.013 (p < 0.1), respectively (see Table 6). Overall, as physical appearance scores increase, the enhancing effect of physical exercise on physical appearance shows a declining trend.
Figure 1 (second panel) shows the dynamic changes in the effects of physical exercise as depicted in the quantile regression coefficient variation chart, specifically reflected in the trends at different quantiles. In this figure, the dashed and solid lines represent the OLS regression estimates and the corresponding quantile regression estimates of the explanatory variables. The gray shading represents the 95% confidence interval for the quantile regression estimates. The study finds that at the 0.5 quantile and above, the enhancing effect of physical exercise on physical appearance gradually weakens relative to the OLS regression estimates. This result suggests that the positive effects of physical exercise are more significant for individuals with lower physical appearance scores.

Variations in all variables across different percentiles of physical appearance
link
